LUSAS KEPCO
한전(KEPCO) 전력 인프라를 위한 전문 구조 해석 솔루션
LUSAS KEPCO 는 가공송전용 철탑 설계기준 수립에 따른 설계업무 효율화를 목적으로 한국전력공사와 함께 개발한
모델링 자동화, 설계 검토, 단면 최적화를 수행하는 송전철탑 설계자동화 프로그램입니다.
LUSAS KEPCO
단면설계 최적화 비교
‘One-time Optimisation’과 ‘Full Optimisation’ 을 이용하여 단면 최적화를 수행할 수 있습니다. 각 방법의 특징과 장, 단점을 이해하고 엔지니어의 판단에 따라 적용하는 것을 추천합니다.
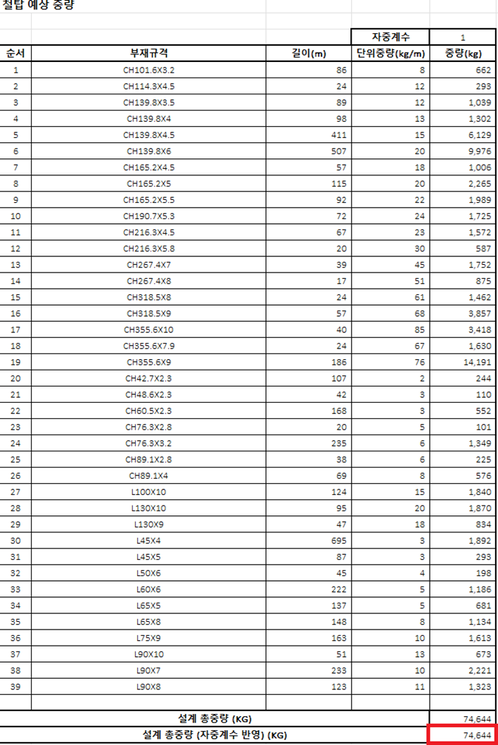
Pylon Wizard의 765kv, A,F,SF 형 1회선 (2개 방향 암) 표준 모델의 주주재를 대상으로 단면 최적화를 수행하였습니다. 각 방법에 따른 작업 소요 시간, Iteration 횟수 및 총 물량 등을 비교하였습니다. 단면 최적화 설계 전 부재의 총 물량은 142, 570kg 입니다.

Main Post
| Type | Iterations | Time required (min) | Total weight (kg) | |
| One-time Optimisation | Main post | 5 | 5 | 125,779 (11.77% decreased) |
| Other members | 2 | 4 | 74,644 (47.64% decreased) | |
| Full Optimisation | Main Post | 20 | 51 | 126,158 (11.512% decreased) |
| Other members | 20 | 50 | 76,747 (46.17% decreased) | |
One-time Optimisation (주주재 대상)
특정 부재를 대상으로 지정한 Loadcase에 대해 한 번의 최적화를 수행하고 변경된 단면이 설계기준을 만족하는지 확인하는 과정을 수동으로 반복하는 방법입니다. 사용자가 지정한 부재를 대상으로 한 번의 최적화 과정을 거치기 때문에 단면 최적화에 소요되는 시간이 짧은 장점이 있습니다.
주주재
주주재에 대해 하중조합을 대상으로 단면이 변화하지 않을 때까지 ‘One-time Optimisation’을 이용하여 단면 최적화를 수행하였습니다.
One-time Optimisation 수행
KEPCO> One-time Optimisation…
주주재를 대상으로 전체 하중조합에 대해 한 번의 최적화를 수행합니다.

해석수행
최적화로 인해 부재의 단면속성이 변경되었기 때문에 해석을 다시 수행합니다.
설계검토
‘KEPCO LRFD’ / ‘UtilPM’에 대한 결과를 Contour로 출력합니다. 최대 UtilPM값이 0.9를 초과하면 설계기준을 만족하지 못하는 것을 의미하므로 One-time Opimisation을 다시 수행합니다. 최대UtilPM값이 0.9이하로 출력되었으나, 주주재가 더 이상 변경되지 않는 최적화 단면을 얻을 때까지 추가로 One-time Optimisation을 수행하였습니다. 총 다섯번의 One-time Optimisation을 수행하여 주주재에 대한 최적화 단면을 얻을 수 있었습니다.





주주재를 제외한 나머지 부재
주주재를 제외한 나머지 부재에 대해 하중조합을 대상으로 부재 단면이 더 이상 변경되지 않는 최적화 단면을 얻을 때 까지 단면 최적화를 수행하였습니다.
One-time Optimisation 수행
KEPCO> One-time Optimisation…

해석수행
최적화로 인해 부재의 단면속성이 변경되었기 때문에 해석을 다시 수행합니다.
설계검토
‘KEPCO LRFD’ / ‘UtilPM’에 대한 결과를 Contour로 출력합니다. 최대 UtilPM값이 0.9를 초과하면 설계기준을 만족하지 못하는 것을 의미하므로 One-time Optimisation을 다시 수행합니다. 최대UtilPM값이 0.9이하로 출력되었으나, 부재가 더 이상 변경되지 않는 최적화 단면을 얻을 때까지 추가로 One-time Optimisation을 수행하였습니다. 총 두 번의 One-time Optimisation을 수행하여 주주재를 제외한 나머지 부재에 대한 최적화 단면을 얻을 수 있었습니다.


Full Optimisation
주주재를 대상으로 지정한 Loadcase에 대해 전체 단면 최적화를 수행하고, 주주재를 제외한 나머지 부재를 대상으로 지정한 Loadcase에 대해 전체 단면 최적화를 수행하는 방법입니다. 주주재에 대한 최적화 정책과 그 외 부재에 대한 최적화 정책에 따라 단면 종류 변경 및 해석 수행 과정을 자동으로 반복하기 때문에 작업 수행에 걸리는 시간이 많이 소요되나 작업이 편리한 장점이 있습니다.
주주재
KEPCO> Run Optimisation…
주주재를 대상으로 단면최적화를 실행합니다. 아래 대화창에서 단면 최적화 대상이 Main Post로 설정되어 있는지 확인 후 작업을 수행합니다.

주주재에 대한 단면 최적화결과 총 21번의 수행 과정 (0~20 Iterations) 중 Iteration 1의 수행 과정이 가장 적합한 단면으로 확인되었습니다. 해당 Iteration Id에 마우스 우측 클릭 후, ‘Set iteration 1 as Geometric Lines’ Initial section’을 선택하면 각 부재의 초기 단면이 최적화된 단면으로 지정됩니다.

현재 가장 마지막 수행과정의 단면이 지정되어 있으므로, 단면 종류를 변경한 후에 해석을 수행하여야 변경된 단면에 대한 설계검토를 할 수 있다. 단순히 단면 속성을 최적화된 단면으로 변경하여 결과를 검토하는 경우 ‘Apply iteration 1 to model’을 선택하고 해석을 수행합니다. 최적화된 단면을 초기값으로 하고, 전체 부재에 대해 최적화를 수행하는 경우 ‘Set Iteration 1 as Geometric Lines’ Initial Section’ 을 선택하고 최적화를 수행합니다.

나머지 부재
KEPCO> Run Optimisation…
주주재를 제외한 나머지 부재를 대상으로 단면최적화를 실행한다. 아래 대화창에서 단면 최적화 대상이 All members로 설정되어 있는지 확인 후 작업을 수행합니다.


최적화된 단면을 해석 모델에 적용하고, 해석을 수행하여 결과를 검토합니다.




