...

LUSAS KEPCO

한전(KEPCO) 전력 인프라를 위한 전문 구조 해석 솔루션

LUSAS KEPCO 는 가공송전용 철탑 설계기준 수립에 따른 설계업무 효율화를 목적으로 한국전력공사와 함께 개발한 

모델링 자동화, 설계 검토, 단면 최적화를 수행하는 송전철탑 설계자동화 프로그램입니다. 

13 단면설계에 따른 물량산출 비교

단면설계에 따른 물량산출 비교

765kV A type 모델을 Pylon 모듈로 구성하여 단면설계 수행 전 산정한 부재의 총 중량과 부재 단면설계 최적화 과정을 거친 후 산정한 설계 총 중량을 비교합니다.

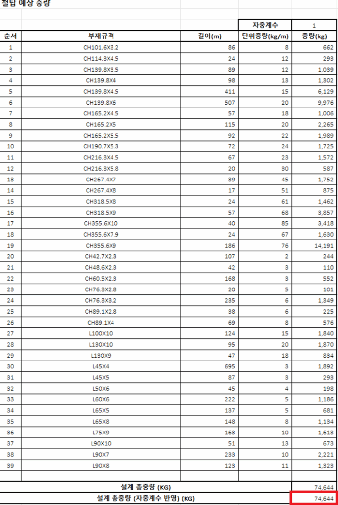
부재 단면설계 최적화 전 물량산출

KEPCO> BOM Report…

부재 단면설계 최적화 후 물량산출

KEPCO> BOM Report…

One-time Optimisation (주주재)

주주재를 대상으로 하중조합에 대해 ‘One-time Optimisation’ 기능을 이용하여 부재 단면 설계 최적화를 수행하였습니다. 단면설계 전(142,570kg)과 비교하였을 때 11.77% 감소하였습니다.

One-time Optimisation (주주재 + 나머지 부재)

주주재를 포함, 나머지 부재를 대상으로 하중조합에 대해 ‘One-time Optimisation’ 기능을 이용하여 부재 단면 설계 최적화를 수행하였습니다. 단면설계 전(142,570kg)과 비교하였을 때 47.64% 감소하였습니다.

Full Optimisation (주주재)

주주재를 대상으로 하중조합에 대해 ‘Run Optimisation’ 기능을 이용하여 부재 단면 설계 최적화를 수행하였습니다. 단면설계 전(142,570kg)과 비교하였을 때 14.458% 감소하였습니다.

Full Optimisation (주주재 + 나머지 부재)

주주재를 포함, 나머지 부재를 대상으로 하중조합에 대해 ‘Run Optimisation’ 기능을 이용하여 부재 단면 설계 최적화를 수행하였습니다. 단면설계 전(142,570kg)과 비교하였을 때 46.17% 감소하였습니다.

Seraphinite AcceleratorOptimized by Seraphinite Accelerator
Turns on site high speed to be attractive for people and search engines.